AI Control for Recycled PP Cuts Injection Defects

AI control for recycled plastics stabilizes injection molding despite resin variability, reducing defects and improving operator confidence with explainable models.
Recycled plastics challenge molders. Inconsistent material quality frequently causes production defects. Manufacturers need a solution to reliably process these materials. New Artificial Intelligence tools are solving this problem. These systems adjust machine settings in real time. Consequently, they ensure consistent part quality despite material variations. This technology bridges the gap between sustainability and precision. It enables molders to adopt the circular economy without sacrificing profitability.
Stabilizing Recycled Polypropylene
Recycled polypropylene (rPP) varies in composition. This variability leads to unstable processing. Molecular breakdown affects viscosity and flow. Repeated heating degrades polymer chains unpredictably. Standard injection molding machines struggle to compensate. They typically use a velocity-controlled switch-over method. However, this approach fails when viscosity fluctuates.
You can also read: Plastics 2028: AI, Circularity, and Smart Materials from K-2025
Researchers recently built a Machine Learning model to fix this. The system uses a pressure-controlled (P-Ctrl) strategy. It continuously monitors injection pressure and melting temperature. The model predicts the viscosity of the incoming material batch. It adjusts pressure setpoints immediately to match that batch’s needs. Therefore, the process remains stable despite changes in the raw material. Results validated this approach. The model predicted part weight within a tight 5% margin of error. This precision allows molders to use cheaper, variable recycled stock.

Errors between experimental and predicted responses for all models. MAE: Mean Absolute Error. MSE: Mean Squared Error. Courtesy of Machine Learning-Based Process Control for Injection Molding of Recycled Polypropylene.
The graph compares three algorithms: Linear Regression, Polynomial Regression, and Artificial Neural Networks (ANN). The ANN model maintains the highest accuracy.
Optimizing Multiple Defects
Fixing one defect often causes another. For example, increasing pressure to fix gas burns might cause flash. Industry experts call this the “balloon effect.” Traditional Six Sigma methods struggle to balance these conflicts. They often rely on manual trial-and-error. This process is slow and depends heavily on operator skill.
Engineers have now combined Six Sigma with AI. They used evolutionary algorithms to optimize multiple objectives at once. Specifically, they applied the NSGA-II algorithm to a multi-cavity mold. The system minimizes gas-trapped burns, short shots, sink marks, and flash simultaneously. It identifies “Pareto-optimal” trade-offs that humans miss. Validation proved the method’s value. The overall defect rate dropped by 84.7%. Additionally, Defects Per Million Opportunities fell from 21,807 to just 3,333. This reduction drastically lowers quality control costs.

Pareto analysis of defect types. Courtesy of Machine Learning-Based Process Control for Injection Molding of Recycled Polypropylene.
Short Shot, Gas Trap burn, and Sink Mark appear more frequently. The top seven types represent 80% of all defects. The cumulative percentage line indicates the Pareto threshold, highlighting that the top defect types account for approximately 80% of total defects.
Building Trust with Explainable AI
Operators often mistrust factory AI. They view complex algorithms as “black boxes.” They hesitate to let a machine control the critical parameters. Explainable AI (XAI) solves this transparency problem. The system presents validity and grounds for its predictions.
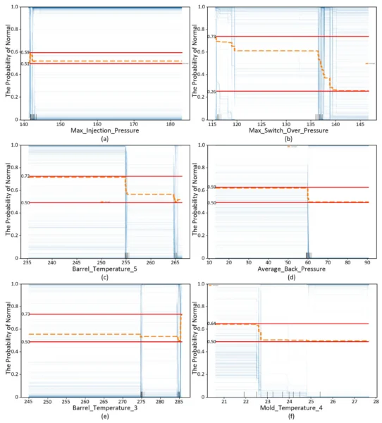
The system uses SHAP values to identify key features. It might show that “Barrel Temperature” drove the decision. Furthermore, ICE plots visually define optimal control ranges. For instance, a plot might show that keeping pressure between 115 and 119 MPa prevents defects. This visual proof helps staff verify the system’s logic. They see exactly why the machine adjusted any setting. Consequently, human confidence in autonomous molding rises. In trials, this approach reduced the defect rate to just 0.13%.

ICE plots of operational variables. Orange lines show average experimental results. Red lines indicate the minimum and maximum PDP values of each main feature. Courtesy of Machine Learning-Based Process Control for Injection Molding of Recycled Polypropylene.
AI transforms recycled plastics from a risk into a resource. Smart algorithms now manage the complexity that humans cannot. They stabilize viscosity, balance conflicting defects, and explain their own logic. As these tools evolve, the circular economy becomes a reality. High-quality sustainable molding is finally within reach.